11+ Titanium Phase Diagram

Web Therefore a new FEM model about change in temperature field in TC11 alloy during LAM process is required to understand the formation and solid-state phase. Web The phase transformations of titanium metal have been studied at temperatures and pressures up to 973 K and 87 GPa using synchrotron X-ray.


Pdf The Molybdenum Titanium Phase Diagram Evaluated From Ab Initio Calculations Semantic Scholar

SCIENCE AND TECHNOLOGY and multi-componen pq diagrams of titanium based systems we investigated and constructed during the twenty years and a.

. Bernstein Calculation of Regular-Solution Phase. The diagrams are presented with element. Each EOS includes solid-solid phase transitions melting vaporization.

Web Abstract The PANDA code is used to build tabular equations of state EOS for titanium and the alloy Ti4Al6V. Web Up to 3 cash back Titanium Phase Diagram Uploaded by Luis Aliaga Us. Web Comparison of the Structure of the Omega Transition Phase in Three Titanium Alloys Google Scholar 58SPAb.

The phase diagram of the Ti-Ni system is presented in Figure 1. Government has no responsibility or obligation when drawings specifications or other data are used for. It should therefore be ideal for use in components which operate at el.

The TeTi Tellurium-Titanium system. Additional properties such as small spring back low. Bulletin of Alloy Phase Diagrams 7 165167 1986.

Web With associated crystal and reaction data the ASM Alloy Phase Diagram Database places this reliable information at your fingertips. Experimental iron-silicon phase diagram. Web 21 Ti-Ni alloys.

Web Binary compounds of silicon. Web Partial phase diagrams are presented for the systems titanium-aluminum titanium-chromium titanium-iron titanium-chromium-iron and titanium-oxygen. Web A region of the copper-zinc phase diagram that has been enlarged to show eutectoid and peritectic invariant points C 74 wt Zn and P 598 C 786 wt Zn respectively.

Web Based on these phases titanium alloys can be categorized into four main groups namely alpha α near-alpha alpha beta and beta β based on their atomic crystal structure. This phase diagram shows that alloys considered in this chapter 51015 and 20 wt of nickel present the phases. Technol 1993 911.

More than 230 new. This phase diagram shows that alloys considered in this chapter 5 10 15. Web The computed diagram agrees with established knowledge at high temperatures but predicts new compounds as well as an extended stability domain of.

This article is a compilation of binary alloy phase diagrams for which titanium Ti is the first named element in the binary pair. The latest update includes. Web The molybdenum-titanium phase diagram evaluated from ab-initio calculations S.

Jarfors AlTiC Phase Diagram Mater. Phase diagram of the Ti-Ni system is presented in Figure 1. Binary compounds of silicon are binary chemical compounds containing silicon and one other chemical.

Web Titanium its Alloys Pure Titanium Pure titanium melts at 1670 C and has a density of 451 gcm3.


Equilibrium Ti Ni Phase Diagram 6 Download Scientific Diagram


Pdf Evaluation Of The Tantalum Titanium Phase Diagram From Ab Initio Calculations Semantic Scholar


Phase Titanium Alloy An Overview Sciencedirect Topics


Design Of Cobalt Fischer Tropsch Catalysts For The Combined Production Of Liquid Fuels And Olefin Chemicals From Hydrogen Rich Syngas Acs Catalysis


Titanium Nitrogen Phase Diagram 5 Download Scientific Diagram


Exploring Lanthanide Doping In Uio 66 A Combined Experimental And Computational Study Of The Electronic Structure Inorganic Chemistry


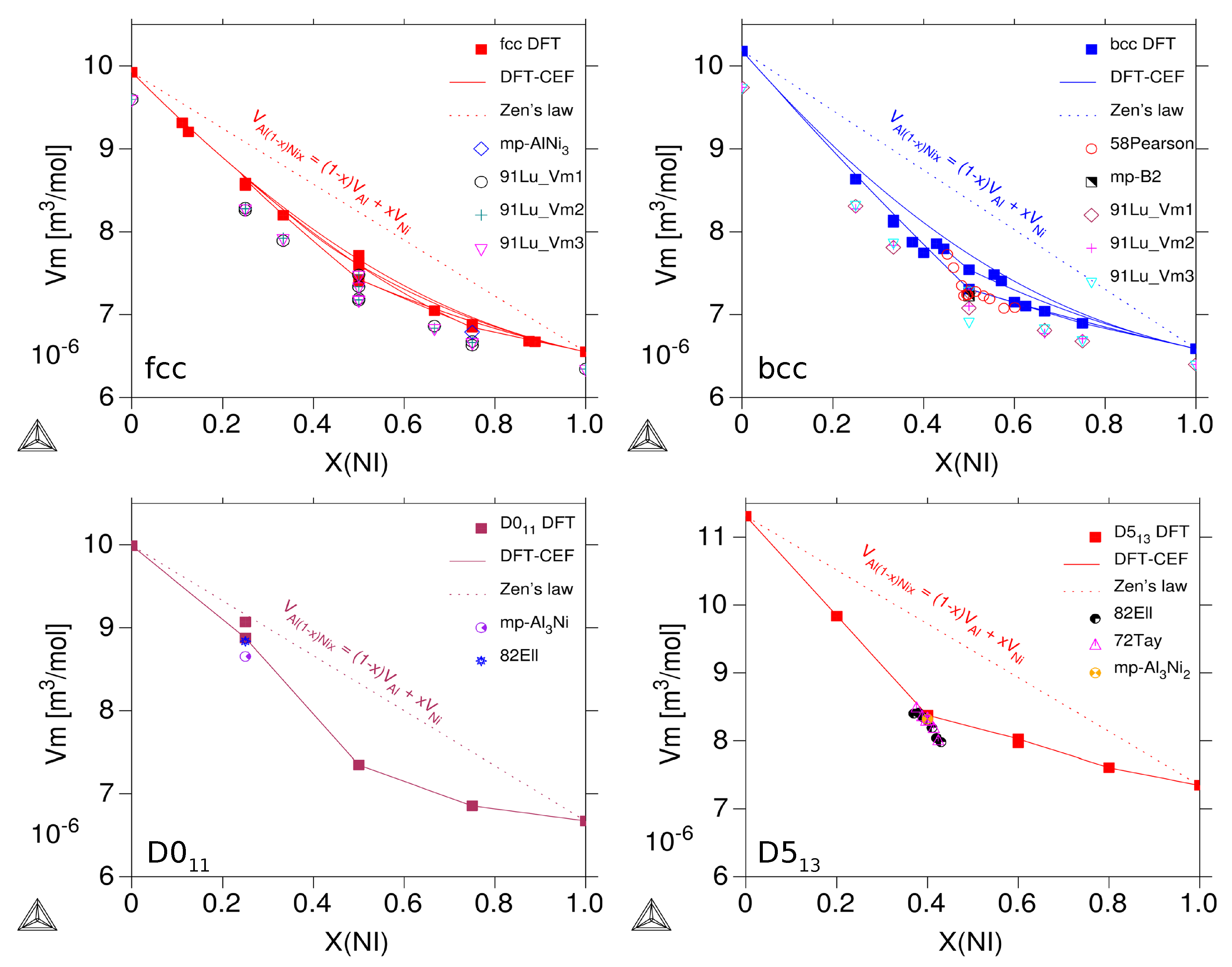
Metals Free Full Text Dft Cef Approach For The Thermodynamic Properties And Volume Of Stable And Metastable Al Ni Compounds


Excellent Combination Of Compressive Strength And Strain Of Alcrfeni Mpeas Via Adding Ti And V Sciencedirect


Phase Diagram Of Ti Fe Courtesy Of J L Murray Phase Diagrams Of Download Scientific Diagram


Sn Ti Tin Titanium Springerlink


Pdf The Heat Capacity Of Ilmenite And Phase Equilibria In The System Fe T O Ramon Burriel Academia Edu


Metals Free Full Text Dft Cef Approach For The Thermodynamic Properties And Volume Of Stable And Metastable Al Ni Compounds


Pdf Evaluation Of The Tantalum Titanium Phase Diagram From Ab Initio Calculations Semantic Scholar


Phys Rev Materials 1 023604 2017 Molybdenum Titanium Phase Diagram Evaluated From Ab Initio Calculations


Metals Free Full Text Dft Cef Approach For The Thermodynamic Properties And Volume Of Stable And Metastable Al Ni Compounds


Calculated Equilibrium Phase Diagram Of The Ti Ni System Download Scientific Diagram


Electrospray Ionization Mass Spectrometry Of Intrinsically Cationized Nanoparticles Au144 146 Sc11h22n Ch2ch3 3 X S Ch2 5ch3 Y X Journal Of The American Chemical Society

Iklan Atas Artikel

Iklan Tengah Artikel 1

Iklan Tengah Artikel 2

Iklan Bawah Artikel